Lithium Battery Winding Machine: Principles, Key Processes and Quality Control Guidelines
In the manufacturing process of lithium-ion batteries, there are usually several ways to divide the process. The process can be divided into three major processes: electrode manufacturing, assembly process and cell testing (as shown in the figure below), and there are also companies that divide it into pre-Winding and post-winding processes, and this demarcation point is the winding process. Because of its strong integration function, can make the battery appearance initial molding, so the winding process in the lithium-ion battery manufacturing as a pivotal role, is the key, the winding process produced by the rolled core is often referred to as the bare battery cell (Jelly-Roll, referred to as JR).
Lithium-ion Battery Manufacturing Process
In the lithium-ion battery manufacturing process, the core winding process is illustrated as follows. The specific operation is to roll the positive pole piece, negative pole piece and isolation film together through the Winding Machine's needle mechanism, and the adjacent positive and negative pole pieces are isolated by the isolation film in order to prevent short circuit. After the winding is finished, the core is fixed with closing adhesive paper to prevent the core from falling apart, and then flows to the next process. In this process, the key is to ensure that there is no physical contact between the positive and negative electrodes, and that the negative electrode sheet can completely cover the positive electrode sheet in both the horizontal and vertical directions.
Schematic diagram of the winding process
In the winding process of the core, generally two roll pins clamp two layers of diaphragm for pre-winding, and then feed the positive or negative pole piece in turn, and the pole piece is clamped between the two layers of diaphragm for winding. In the longitudinal direction of the core, the diaphragm exceeds the negative diaphragm, and the negative diaphragm exceeds the positive diaphragm, so as to avoid the contact short circuit between the positive and negative diaphragms.
Schematic diagram of winding needle clamping diaphragm
Physical drawing of automatic winding machine
Winding machine is the key equipment to realize the core winding process. Referring to the above diagram, its main components and functions are as follows:
1. Pole piece supply system: convey the positive and negative pole pieces along the guide rail to the two layers of diaphragm between A-A side and B-B side respectively to ensure the stable supply of pole pieces.
2. Diaphragm unwinding system: It includes upper and lower diaphragms to realize the automatic and continuous supply of diaphragms to the winding needle.
3. Tension control system: to control the constant tension of the diaphragm during the winding process.
4. Winding and gluing system: for gluing and fixing the cores after winding.
5. Unloading conveyor system: Automatically dismantle the cores from the needles and drop them onto the automatic conveyor belt.
6. Foot switch: When there is no abnormal condition, step on the foot switch to control the normal operation of winding.
7. Human-computer interaction interface: with parameter setting, manual debugging, alarm prompts and other functions.
From the above analysis of the winding process, it can be seen that the winding of the electric core contains two unavoidable links: pushing the needle and pulling the needle.
Push the needle process: the two rolls of needles extend under the action of the push the needle cylinder, through both sides of the diaphragm, the two rolls of needles formed by the combination of the needle cylinder inserted into the sleeve, the rolls of needles close to clamp the diaphragm, at the same time, the two rolls of needles merge to form a basically symmetrical shape, as the core of the core winding.
Schematic diagram of the needle pushing process
Needle pumping process: after the core winding is completed, the two needles are retracted under the action of the needle pumping cylinder, the needle cylinder is withdrawn from the sleeve, the ball in the needle device closes the needle under the action of the spring, and the two needles are coiled in opposite directions, and the size of the free end of the needle is reduced to form a certain gap between the needle and the core's inner surface, and with the needle retracted relative to the retaining sleeve, the needles and the core can be smoothly separated.
Schematic diagram of the needle extraction process
The "needle" in the process of pushing and pulling out the needle above refers to the needle, which, as the core component of the winding machine, has a significant impact on the winding speed and the quality of the core. At present, most of the winding machines use round, oval and flat diamond-shaped needles. For round and oval needles, due to its existence of a certain arc, will lead to deformation of the pole ear of the core, in the subsequent process of core pressing, but also easy to cause internal wrinkling and deformation of the core. As for flat diamond-shaped needles, due to the large size difference between the long and short axes, the tension of the pole piece and diaphragm varies significantly, requiring the drive motor to wind at variable speeds, which makes the process difficult to control, and the winding speed is usually low.
Schematic diagram of common winding needles
Take the most complicated and common flat diamond-shaped needle as an example, in the process of its winding and rotation, the positive and negative pole pieces and diaphragm are always wrapped around the six corner points of B, C, D, E, F and G as the support point.
Schematic diagram of flat diamond-shaped winding needle rotation
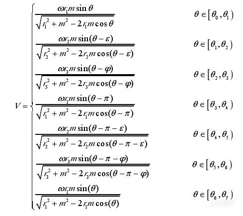
Therefore, the winding process can be divided into segmental winding with OB, OC, OD, OE, OF, OG as the radius, and only need to analyze the change of the line speed in the seven angular ranges between θ0, θ1, θ2, θ3, θ4, θ5, θ6, and θ7, in order to completely quantitatively describe the cyclic rotation process of the winding needle.
Schematic diagram of different angles of needle rotation
Based on the trigonometric relationship, the corresponding relation can be derived.
From the above equation, it is easy to see that when the winding needle is wound at a constant angular velocity, the linear velocity of winding and the angle formed between the support point of the needle and the positive and negative pole pieces and the diaphragm are in a segmented function relationship. The image relationship between the two is simulated by Matlab as follows:
Changes of winding speed at different angles
It is intuitively obvious that the ratio of the maximum linear velocity to the minimum linear velocity in the winding process of the flat diamond-shaped needle in the figure can be more than 10 times. Such a huge change in line speed will bring about large fluctuations in the tension of the positive and negative electrodes and the diaphragm, which is the main cause of fluctuations in winding tension. Excessive tension fluctuation may lead to diaphragm stretching during the winding process, diaphragm shrinkage after winding, and small layer spacing at the corners inside the core after core pressing. In the charging process, the expansion of the pole piece causes the stress in the direction of the width of the core is not concentrated, resulting in a bending moment, resulting in distortion of the pole piece, and the prepared Lithium Battery eventually appears "S" deformation.
CT image and disassembly diagram of the "S" deformed core
At present, in order to solve the problem of poor core quality (mainly deformation) caused by the shape of the winding needle, two methods are usually used: variable tension winding and variable speed winding.
1. Variable tension winding: Take cylindrical battery as an example, under constant angular velocity, the linear velocity increases with the number of winding layers, which leads to the rise of tension. Variable tension winding, that is, through the tension control system, so that the tension applied to the pole piece or diaphragm with the increase in the number of winding layers and linear reduction, so that in the case of constant rotational speed, but still can make the whole winding process of the tension as far as possible to maintain a constant. A large number of variable tension winding experiments have led to the following conclusions:
a. The smaller the winding tension, the better the improvement effect on core deformation.
b. During constant speed winding, as the core diameter increases, the tension decreases linearly with a lower risk of deformation than with constant tension winding.
2. Variable speed winding: Take square cell as an example, a flat diamond-shaped winding needle is usually used. When the needle is wound at a constant angular speed, the linear speed fluctuates significantly, resulting in large differences in layer spacing at the corners of the core. At this time, the need for linear speed changes reverse deduction of the law of change of rotational speed, that is, the winding of the rotational speed with the angle change and change, in order to realize the winding process of linear speed fluctuations as small as possible, so as to ensure that the tension fluctuations in the range of small amplitude value.
In short, the shape of the winding needle may affect the flatness of the pole ear (core yield and electrical performance), winding speed (productivity), core internal stress uniformity (appearance deformation problems) and so on. For cylindrical batteries, round needles are usually used; for square batteries, elliptical or flat rhombic needles are usually used (in some cases, round needles can also be used to wind and flatten the core to form a square core). In addition, a large amount of experimental data show that the quality of the cores has an important impact on the electrochemical performance and safety performance of the final battery.
Based on this, we have sorted out some key concerns and precautions in the winding process of lithium batteries, in the hope of avoiding improper operations in the winding process as much as possible, so as to manufacture lithium batteries that meet the quality requirements.
In order to visualize the core defects, the core can be immersed in AB glue epoxy resin for curing, and then the cross-section can be cut and polished with sandpaper. It is best to observe the prepared samples under a microscope or scanning electron microscope, so as to obtain the internal defect mapping of the core.
Internal defect map of the core
(a) The figure shows a qualified core with no obvious internal defects.
(b) In the figure, the pole piece is obviously twisted and deformed, which may be related to the winding tension, the tension is too large to cause the pole piece wrinkles, and this kind of defects will make the battery interface deteriorate and lithium precipitation, which will deteriorate the performance of the battery.
(c) There is a foreign substance between the electrode and the diaphragm in the figure. This defect may lead to serious self-discharge and even cause safety problems, but it can usually be detected in the Hi-pot test.
(d) The electrode in the figure has a negative and positive defect pattern, which may lead to low capacity or lithium precipitation.
(e) The electrode in the figure has dust mixed inside, which may lead to increased self-discharge of the battery.
In addition, defects inside the core can also be characterized by non-destructive testing, such as the commonly used X-ray and CT testing. The following is a brief introduction to some common core process defects:
1. Poor coverage of pole piece: local negative pole piece is not fully covered with positive pole piece, which may lead to battery deformation and lithium precipitation, resulting in potential safety hazards.
2. Deformation of pole piece: the pole piece is deformed by extrusion, which may trigger internal short circuit and bring serious safety problems.
It is worth mentioning that in 2017, the sensational samsung note7 cell phone explosion case, the investigation result is due to the negative electrode inside the battery is squeezed to cause an internal short circuit, thus causing the battery to explode, the accident caused samsung electronics loss of more than 6 billion dollars.
3. Metal foreign matter: metal foreign matter is the performance of lithium-ion battery killer, may come from the paste, equipment or the environment. Larger particles of metal foreign matter may directly cause a physical short circuit, and when metal foreign matter is mixed into the positive electrode, it will be oxidized and then deposited on the surface of the negative electrode, piercing the diaphragm, and ultimately causing an internal short circuit in the battery, which poses a serious safety hazard. Common metal foreign matter are Fe, Cu, Zn, Sn and so on.
Lithium battery winding machine is used for winding lithium battery cells, which is a kind of equipment for assembling positive electrode sheet, negative electrode sheet and diaphragm into a core pack (JR: JellyRoll) by continuous rotation. Domestic winding manufacturing equipment started in 2006, from semi-automatic round, semi-automatic square winding, automated film production, and then developed into combined automation, film winding machine, laser die-cutting winding machine, anode continuous winding machine, diaphragm continuous winding machine, and so on.
Here, we especially recommend Yixinfeng laser die-cutting winding and pushing flat machine. This machine combines advanced laser die-cutting technology, efficient winding process and precise pushing function, which can greatly improve the production efficiency and quality of lithium battery. It has the following significant advantages:
1. High-precision die-cutting: Ensure the precise size of pole piece and diaphragm, reduce material waste and improve the consistency of the battery.
2. Stable winding: Optimized winding mechanism and control system ensures tight and stable core structure, reduces internal resistance and improves battery performance.
3. High-efficiency leveling: Unique leveling design makes the surface of the cores flat, reduces uneven internal stress, and prolongs battery life.
4. Intelligent control: Equipped with advanced human-computer interaction interface, it realizes accurate parameter setting and real-time monitoring, easy operation and easy maintenance.
5. Wide range of compatibility: it can also do 18, 21, 32, 46, 50, 60 all models of battery cells, to meet your diverse production needs.
Lithium - Ion Battery Equipment
Choose Yixinfeng laser die-cutting, winding and pushing machine to bring higher quality and efficiency for your lithium battery production!
